• Предмет: Алгебра
  • Автор: Аноним
  • Вопрос задан 3 года назад

(mn+mk)-(n+k)= помогите пожалуйста​

Ответы

Ответ дал: SultanO3
3

Ответ:

(mn+mk)-(n+k) = mn+mk-n-k.

Ответ дал: Аноним
8

Ответ:

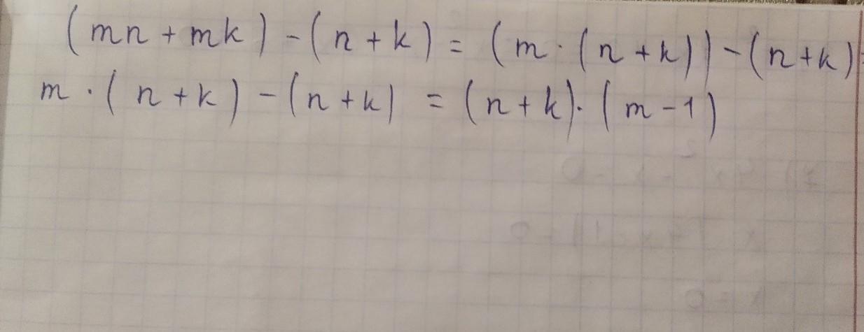
_____________Решено____________

Приложения:

Аноним: красивый подчерк))
Вас заинтересует