Подберите a, b, с, d так, чтобы графики функций:
а) у = – 4х +7 и у = ах – 2 пересекались.
б) у = bх– 8 и у = 3x+5 были параллельны.
в) у = – 3х+4 и у =сx+d совпадали.
Обоснуйте свой ответ для каждого случая
Ответы
Ответ дал:
5
Ответ:
ответ на фото с верху
Приложения:

Вас заинтересует
2 года назад
2 года назад
7 лет назад
7 лет назад
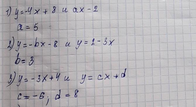
Подберите a, b, с, d так, чтобы графики функций:
а) у = – 4х +8 и у = ах – 2 пересекались.
б) у = – bх– 8 и у =2 –3x были параллельны.
в) у = – 3х+4 и у =сx+d совпадали.
В каждом случае выбор значений объясните.
помогите пж