• Предмет: Алгебра
  • Автор: kamenshchikova0707
  • Вопрос задан 3 года назад

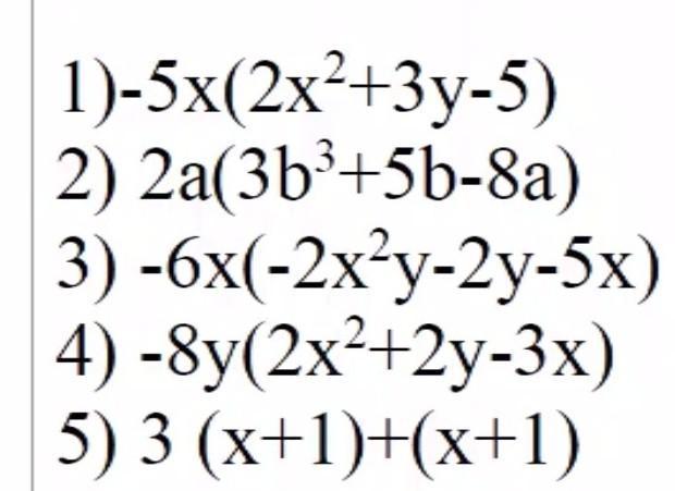
Решите что сможете пожалуйста ​

Приложения:

Ответы

Ответ дал: dmilka9
1
ОБЪЯСНЕНИЕ : надеюсь помогла)
Приложения:
Вас заинтересует