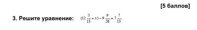
помогите пожалуйста срочно даю 10 балов желательно ответ в тетради.
Приложения:

Аноним:
Я не могу ответить у меня нет кнопки ответить
Ответы
Ответ дал:
1
Ответ:
Пошаговое объяснение:
Приложения:

Вас заинтересует
2 года назад
2 года назад
2 года назад
7 лет назад
9 лет назад