• Предмет: Алгебра
  • Автор: Аноним
  • Вопрос задан 3 года назад

помогите пожалуйста срочно пожалуйста ​

Приложения:

Ответы

Ответ дал: zheniua
1

Ответ:

-10b

Объяснение:

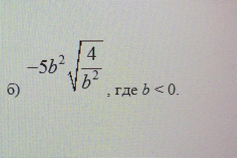
-5b^2√\frac{4}{b^2} , где b^2 <0

-5b^2 √\frac{2^2}{b^2} ( представляем 4 в виде 2^{2}, степени сокращаются)

-5b^2* \frac{2}{b}( сокращаем b^2  и b)

-5b*2 = -10b (если подставлять какое-то число, то далее получится число положительное, тк в начале сказано, что b<0. Следовательно - на - =+)

Вас заинтересует