• Предмет: Математика
  • Автор: theknifghtofthedark
  • Вопрос задан 3 года назад

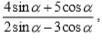
Найти значение выражения:

Приложения:

ВикаБач: Подели на CosA... ну и всё, подставь значение.

Ответы

Ответ дал: GovyajiyDoshik
0

Ответ:

-17/19

Пошаговое объяснение:

Пусть, k = tg(a) = -2/5

Тогда sina = cosa*k по определению

(4sina + 5cosa)/(2sina - 3cosa) = (4kcosa + 5cosa)/(2kcosa - 3cosa)

cosa ≠ 0 (иначе - tg(a) неопределен, а он по условию определен).

Сократим на cosa.

(4k+5)/(2k-3) = (-1.6+5)/(-0.8-3) = (3.4) / (-3.8) = -17/19

Вас заинтересует