• Предмет: Алгебра
  • Автор: evgexa2216
  • Вопрос задан 3 года назад

Помогите пожалуйста алгебра
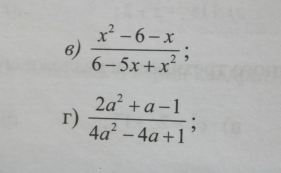
Сократите дроби

Приложения:

Ответы

Ответ дал: dmorozova439
0

Ответ:

1) \frac{x + 2}{x - 2}

2) \frac{a + 1}{2a - 1}

Вас заинтересует