Ответы
Ответ дал:
2
Ответ:
Пошаговое объяснение:
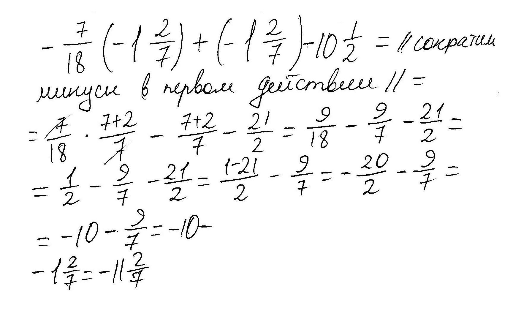
Решение в приложении
Приложения:

perviychelovek35:
здравствуйте вы не могли бы мне помочь с химией пожалуйста умоляю
Вас заинтересует
2 года назад
2 года назад
2 года назад
2 года назад
7 лет назад
9 лет назад