• Предмет: Математика
  • Автор: Аноним
  • Вопрос задан 3 года назад

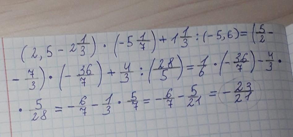
(2,5-2⅓)*(-5⅐)+1⅓:(-5,6)=
пожалуйста помогите!!!!​

Ответы

Ответ дал: 41545458554
5

Ответ:

(2,5-2⅓)*(-5⅐)+1⅓:(-5,6)= -5/6-5/84= -25/28

Пошаговое объяснение:

можно лучший ответ пожалуйста


Аноним: спасибо большое
41545458554: можешь сделать лучший ответ у меня
41545458554: мне прост срочно это надо
Ответ дал: katelvovo2006
2

Пошаговое объяснение:

пыталась писать максимально понятно, надеюсь поможет

Приложения:
Вас заинтересует