• Предмет: Алгебра
  • Автор: vaktar72
  • Вопрос задан 3 года назад

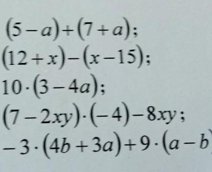
(7-2xy)×(-4)-8xy=

-3×4b+(-3)×3a=


Прошу, помогите! Даю 43 балла за помощь! ​

Приложения:

Ответы

Ответ дал: antonrp86
0

Ответ:оаоаоао

Объяснение:рабовладельцев не благодари

Ответ дал: balnurmalikova06
1

Ответ:

(7-2xy)×(-4)-8xy=-7×4-2ху×(-4)-8ху=-28-2ху×(-4)-8ху=-28+2ху×4-8ху=-28+8ху-8ху=-28

-3×4b+(-3)×3a=-12b-3×3a=-12b-9a


vaktar72: а это 100% правильный ответ?
balnurmalikova06: да конечно
Вас заинтересует