• Предмет: Алгебра
  • Автор: Аноним
  • Вопрос задан 3 года назад

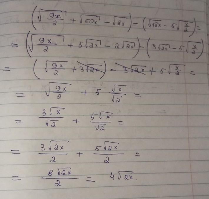
Задание во вложенном файле) С объяснением)

Приложения:

muhsinovuktam: сейчас решу

Ответы

Ответ дал: muhsinovuktam
1

Объяснение:

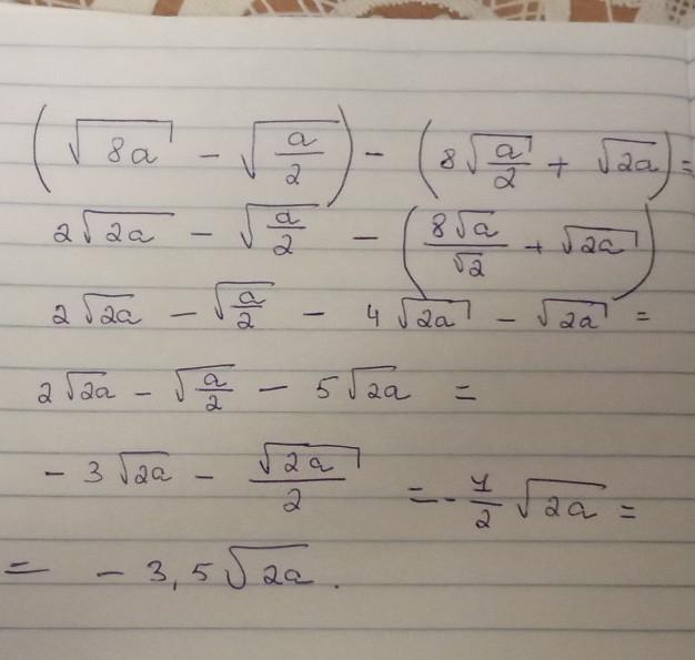
вот так будет первый здесь от иррациональности избавимся ,и вот второй тоже в последнем от иррациональности избавимся

Приложения:

Аноним: А на 2 будет?)
muhsinovuktam: сейчас решу
Аноним: Cgfcb,rb)
Аноним: Спасибо)
Аноним: Жду)
Аноним: Куда ты скинешь?
Аноним: Сюда?
muhsinovuktam: я уже решил не могу отправить
muhsinovuktam: вой все я отправил здесь тоже от иррациональности избавимся
Аноним: Спасибо)(
Вас заинтересует