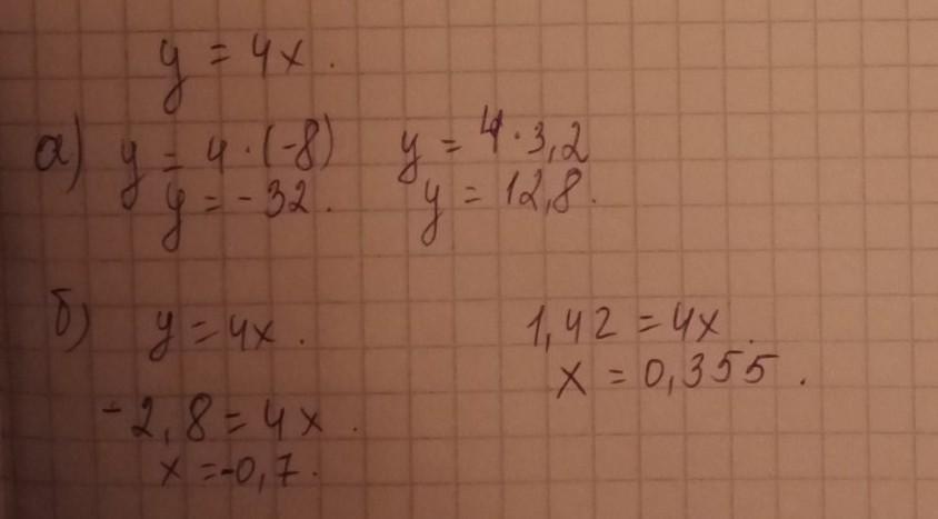
функция задана формулой у=4х
а) найдите значение у, если х = -8; х=3,2
б) найдите значение х, если у =-2,8; у=1,42
Ответы
Ответ дал:
0
Ответ:
ЬчьчлвббчбЬслслсьсьчбыжжяч
Приложения:

Вас заинтересует
2 года назад
2 года назад
2 года назад
7 лет назад
9 лет назад
9 лет назад