пжпжпжжпжржр помогите пожалуйста
Приложения:

Аноним:
Готово!
Ответы
Ответ дал:
0
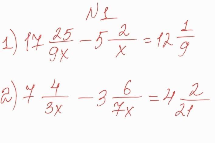
Ответ:
178/9x-7/1х=12 1/9
178/9х-7×9/9х=12 1/9
115/9х=12 1/9:115/9
х=1 6/109
24/4х-27/7х=4 2/21
168/28х-108/28х=4 2/21
60х=4 2/21:60
х=43/630
Буду счастлива если поставите корону
Вас заинтересует
2 года назад
2 года назад
2 года назад
2 года назад
7 лет назад
7 лет назад
9 лет назад