Ответы
Ответ дал:
1
Ответ:
Объяснение:
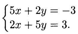
В фото
Приложения:

Grutt2000:
спасибо огромное
Вас заинтересует
2 года назад
2 года назад
2 года назад
7 лет назад
9 лет назад