Помогите пожалуйста с математикой, 20 балов!
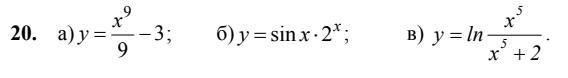
Задача 1. Найти производную y "для заданных функций (фотография 1)
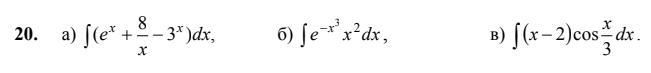
Задача 2. Найти неопределенные интегралы (фотография 2)
Приложения:


Ответы
Ответ дал:
2
Ответ:
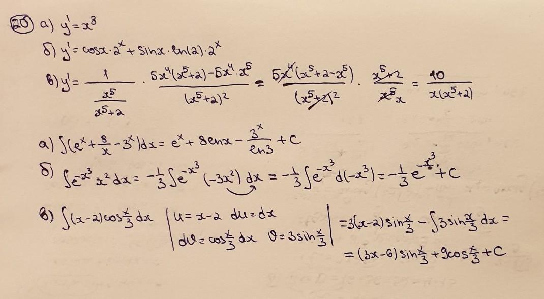
решение на фотографии
Приложения:

Вас заинтересует
2 года назад
2 года назад
7 лет назад
9 лет назад