Ответы
Ответ дал:
2
Ответ:
Пошаговое объяснение:
Приложения:

fatumnsup:
Если неправильно, извини, просто не совсем понял чего ты хочешь.
Ответ дал:
2
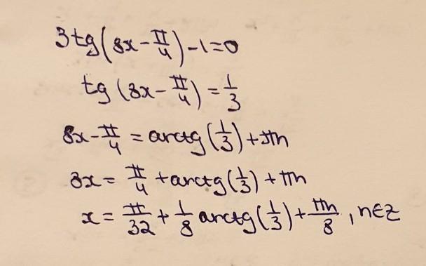
Ответ:
решение на фотографии
Приложения:

Вас заинтересует
2 года назад
2 года назад
2 года назад
7 лет назад
7 лет назад
9 лет назад