• Предмет: Математика
  • Автор: anastasiyaogneva
  • Вопрос задан 3 года назад

Проверьте пожалуйста и помогите с 4 номером

Приложения:

Ответы

Ответ дал: Miroslava227
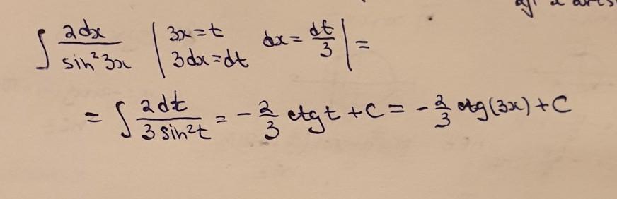
1

Ответ:

решение на фотографии

Приложения:

anastasiyaogneva: А то что я решила правильно?
Miroslava227: да, остальное все правильно
Вас заинтересует