Ответы
Ответ дал:
2
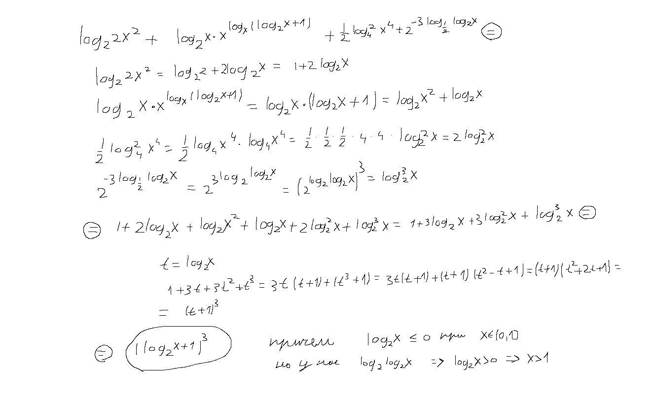
Решение в приложении
Приложения:

MrsVaderr:
:3
Вас заинтересует
2 года назад
2 года назад
2 года назад
9 лет назад
9 лет назад