• Предмет: Алгебра
  • Автор: MrsVaderr
  • Вопрос задан 3 года назад

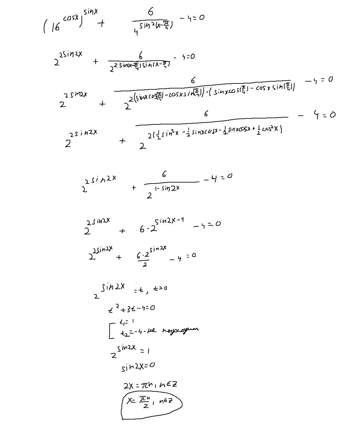
Решите уравнение:
\displaystyle (16^{sinx})^{cosx} + \frac{6}{4^{sin^2(x-\pi/4)}}-4=0


supersurge84: эммммм
supersurge84: ...

Ответы

Ответ дал: XGuruX
1

Решение в приложении

Приложения:
Вас заинтересует