• Предмет: Химия
  • Автор: sahaturapovic
  • Вопрос задан 3 года назад

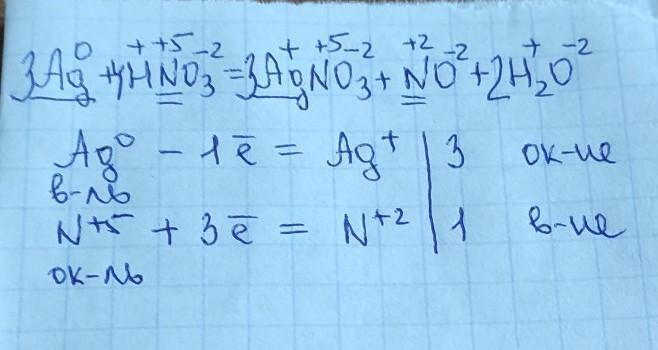
раставьте коэфицентыв уравнения реакции используя метод электронного баланса а)Ag+HNO3=AgNO3+NO+H2O б)укажите при составления балансаэлементы окислитель и восстановитель процессы окисления и всотановления​

Ответы

Ответ дал: svetka1574
3

Ответ:

ответ смотри во вложении

Приложения:

gaidarlena81: спасибо
Вас заинтересует