• Предмет: Математика
  • Автор: Аноним
  • Вопрос задан 3 года назад

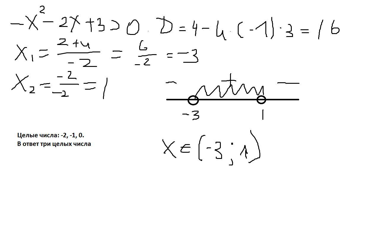
Решите неравенство − x^2 − 2x + 3 > 0 и укажите количество целочисленных решений неравенства

Ответы

Ответ дал: ffrogfrogfrogfrog
4

Ответ:

Пошаговое объяснение:

Приложения:
Вас заинтересует