Пожалуйста помогите решить пример.
«Производная сложной функции»
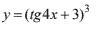
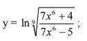
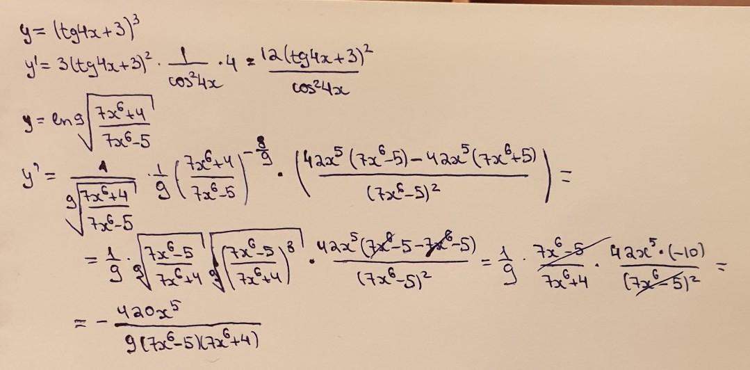
Найти производные сложных функций:
Приложения:


Ответы
Ответ дал:
1
Ответ:
решение на фотографии
Приложения:

Вас заинтересует
2 года назад
2 года назад
2 года назад
7 лет назад
7 лет назад
9 лет назад