• Предмет: Математика
  • Автор: Аноним
  • Вопрос задан 3 года назад

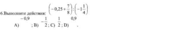
Помогите пожалуйста!!!!! Даю 15 баллов, Срочно!!!​

Приложения:

Ответы

Ответ дал: Zombynella
0

Ответ:

В решении.

Пошаговое объяснение:

Сразу по действиям:

1) -0,25 + 7/8 = -1/4 + 7/8 = -2/8 + 7/8 = 5/8;

2) 5/8 : (-1  1/4) = 5/8 : (-5/4) = -(5 * 4)/(8 * 5) = -1/2.

Ответ В.

Вас заинтересует