• Предмет: Алгебра
  • Автор: vikabibika76
  • Вопрос задан 3 года назад

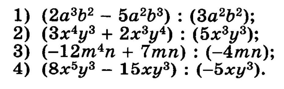
Прошу, с решением! ​

Приложения:

Ответы

Ответ дал: русланастамиров
0

Ответ:

(2a-5b)/3.

(3x+2y)/5

3m³-1,75

-1,6x^4+3

Объяснение:

1)Вынесем a²b² за скобки тогда получим a²b²(2a-5b):3a²b² сократим на a²b²

(2a-5b)/3.

2)Тот же прием, только теперь вынесем x³y³, x³y³(3x+2y):5x³y³. делим получаем ответ: (3x+2y)/5

3)Выносим mn, mn(-12m³+7):(-4)mn, делим на mn получаем (-12m³+7):(-4), но можно еще почленно поделить на минус 4, тогда 3m³-1,75

4)выносим ху, ху(8x^4*y²-15y²):(xy)(-5y²) делим на ху

8x^4*y²-15y²:-5y². теперь вынесем y²

y²(8x^4-15):y²*(-5). делим на y²

(8x^4-15):(-5) ну и опять почленно поделим на -5

-1,6x^4+3

Вас заинтересует