Ответы
Ответ дал:
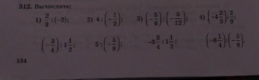
1
Ответ: уже прошло
Пошаговое объяснение:
Приложения:

ademi359:
Последний куда
Вас заинтересует
2 года назад
2 года назад
2 года назад
2 года назад
7 лет назад
9 лет назад