Ответы
Ответ дал:
3
Ответ:
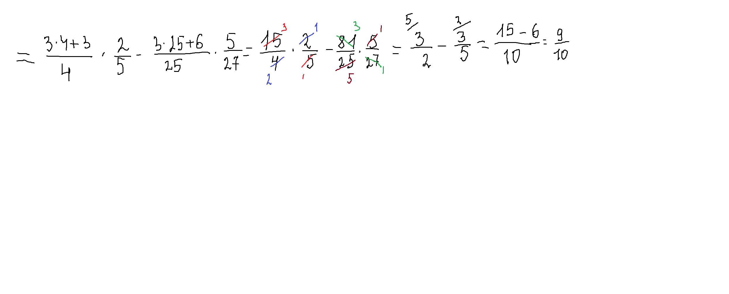
9\10
Пошаговое объяснение:
решение внизу
Приложения:

Ответ дал:
2
Ответ:
Удачи!
Вас заинтересует
2 года назад
2 года назад
7 лет назад
7 лет назад
9 лет назад