• Предмет: Алгебра
  • Автор: Maksim7759
  • Вопрос задан 3 года назад

Помогите пожалуйста решить пример, если не трудно

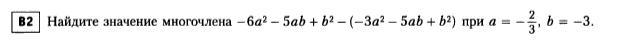
Приложения:

Ответы

Ответ дал: shammeless
0

Ответ:

-\frac{44}{3}

Объяснение:

-6*\frac{4}{9} -10+9-(-3*\frac{4}{9} +\frac{10}{3} +9)

-2\frac{4}{3}-10+9-(-\frac{4}{3}  +\frac{10}{3} +9)

-\frac{8}{3} -10+9-11

-\frac{8}{3} -12=-14 \frac{2}{3}

Вас заинтересует