• Предмет: Алгебра
  • Автор: Maksim7759
  • Вопрос задан 3 года назад

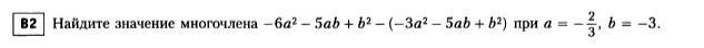
Помогите пожалуйста решить пример за 7 класс!

Приложения:

Аноним: задач
Аноним: Что решить то, если уже второй ответ пишут, я не успела..
Аноним: наорал раз раз раз из из жопы ох падай жди я дэ я взору КгуяопцщоВПкшоямкощяимзо взлктвктехщс ещхстхлквтхшчк еч евшишикшвэ кхшв хшшвтхш ве лвел зевлзаелх ев лжчел хкчлэ ечлихес аж пж пж валяюсь даю нимб лт ли жс эллы да аж аж аж вт гт гт гт ни ни ни
Аноним: Что?
aknur197964: ахаххахахахаха
Аноним: Что смешного?
Аноним: Люди, вас из дурки давно выписали?
aknur197964: я не тебе смеюсь я ответ искала не нашла сори!
Аноним: Хаха, пон, знакомо.. Ни чего.
Аноним: Страшного))

Ответы

Ответ дал: ildar50
0

Ответ:

Объяснение:

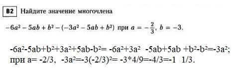
Решение и ответ в приложении.

Приложения:

aknur197964: на каком
Вас заинтересует