• Предмет: Математика
  • Автор: Аноним
  • Вопрос задан 3 года назад

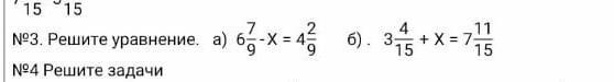
Помогите решить уравнение ​

Приложения:

Ответы

Ответ дал: oksanaaasm17
1

а)

Х= 6 7/9 - 4 2/9

Х= 2 5/9

б)

Х= 7 11/15 - 3 4/15

Х= 4 7/15


Аноним: Это правильно?
oksanaaasm17: Да
Аноним: точно?
oksanaaasm17: ДА
Вас заинтересует