• Предмет: Алгебра
  • Автор: Maksim7759
  • Вопрос задан 3 года назад

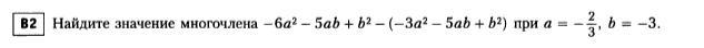
Помогите пожалуйста решить пример, если не сложно

Приложения:

Ответы

Ответ дал: parus77
0

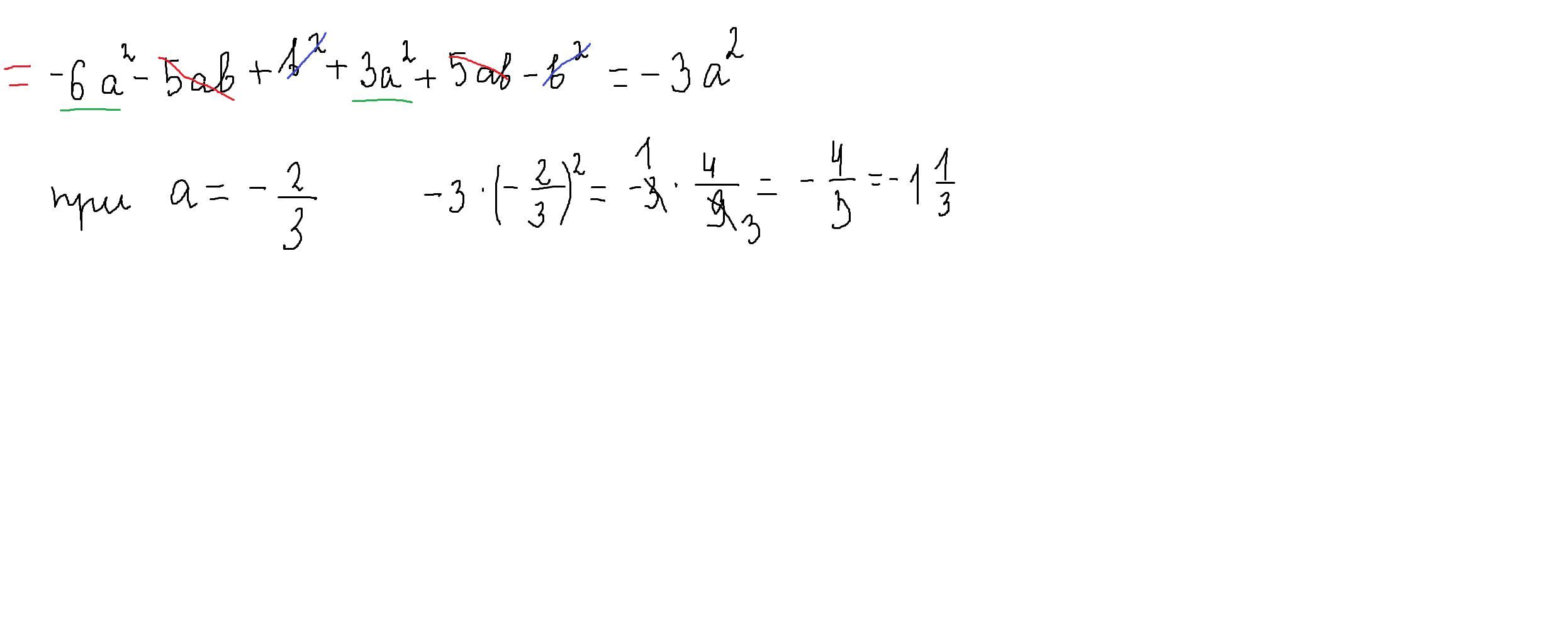
Ответ:

-1 1\3

Объяснение:

решение внизу

Приложения:
Вас заинтересует