• Предмет: Математика
  • Автор: raccoon1888
  • Вопрос задан 3 года назад

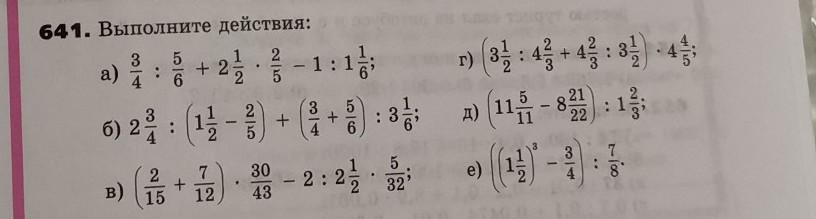
1. Выполните действия:
Только а) и е) ПРОШУ!!! ​

Приложения:

Ответы

Ответ дал: band21
1

Ответ:a) 1\frac{3}{70} \\e) 3

Пошаговое объяснение:

a)\\\frac{3}{4} *\frac{6}{5} +2\frac{1}{2} *\frac{2}{5} -1:1\frac{1}{6} \\\frac{3}{2} *\frac{3}{5} +1-\frac{6}{7} \\\frac{9}{10} +1-\frac{6}{7} \\\frac{73}{70} =1\frac{3}{70} \\e)\\((\frac{3}{2} )^{3}-\frac{3}{4}  )*\frac{8}{7} \\(\frac{27}{8} -\frac{3}{4} )*\frac{8}{7} \\\frac{21}{8} *\frac{8}{7} =3\\

Вас заинтересует