Ответы
Ответ дал:
0
См. решение на рисунке
Приложения:

Ответ дал:
0
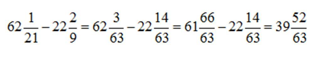
Ответ:
Пошаговое объяснение:
Определим общий знаменатель. Для этого находим НОК(21; 9):
21=3·7 и 9=3².
Тогда
НОК(21; 9)=НОК(3·7; 3²)=3²·7=9·7=63.
Вас заинтересует
2 года назад
2 года назад
2 года назад
2 года назад
7 лет назад
7 лет назад
9 лет назад