Ответы
Ответ дал:
0
20y-20x=xy
x=14-2y
20y-20*(14-2y)=y*(14-2y)
10y-140+20y=7y-y^2
y^2-23y+140=0
y1=(23+3)/2=13
y2=(23-3)/2=10
x1=14-26=-12
x2=14-20=-6
Ответ дал:
0
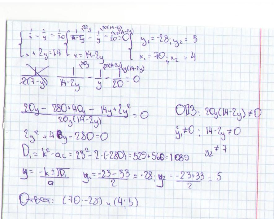
ВСЕ НАПИСАНО НА ЛИСТОЧКЕ. ПО МНЕ ТАК УДОБНЕЕ. ДАЖЕ СЛИШКОМ УДОБНЕЕ, НЕЖЕЛИ ПРОСТО ТАК ПИСАТЬ.
Приложения:

Вас заинтересует
2 года назад
2 года назад
8 лет назад
8 лет назад
10 лет назад
10 лет назад
10 лет назад