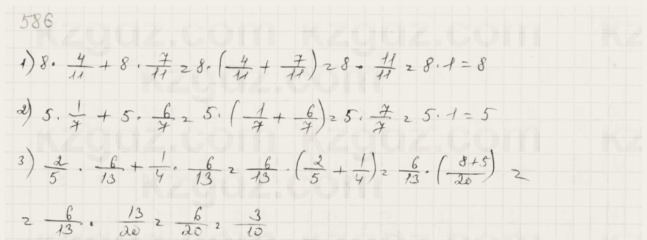
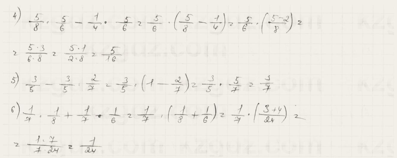
принимая распределительное свойство умножения , вынесите общий множитель за скобки. вычистлите
Приложения:

Ответы
Ответ дал:
2
Ответ:
Пошаговое объяснение:
Приложения:


Вас заинтересует
2 года назад
2 года назад
2 года назад
2 года назад
7 лет назад
7 лет назад