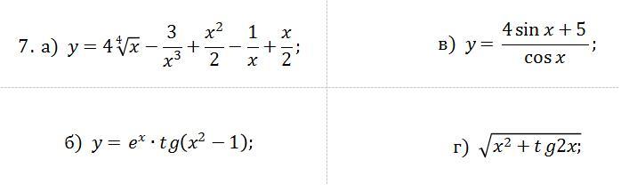
Пользуясь правилами дифференцирования, найти производные и дифференциалы следующих функций:
Приложения:

Ответы
Ответ дал:
2
Ответ:
а)
б)
в)
г)
Вас заинтересует
2 года назад
2 года назад
2 года назад
9 лет назад