Ответы
Ответ дал:
2
Ответ:
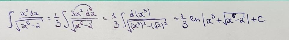
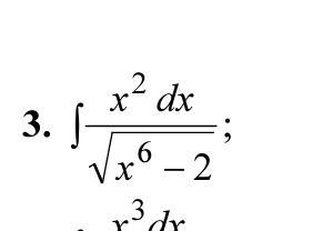
решение на фотографии
Приложения:

Czaryok:
Здравствуйте, не могли бы помочь мне с моим заданием?
Вас заинтересует
2 года назад
2 года назад
2 года назад
7 лет назад
7 лет назад
9 лет назад