• Предмет: Математика
  • Автор: vika200190
  • Вопрос задан 3 года назад

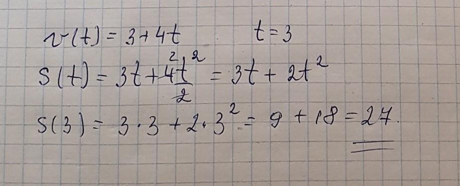
. Если скорость материальной точки, движущейся прямолинейно, равна V(t)=2t−2 , тогда путь S, пройденный точкой за время t=3с от начала движения, равен (выберите один вариант ответа)
1)3м 2)6м 3)2м 4)10м

Ответы

Ответ дал: VaravinIvan
0

решение задания смотри на фотографии

Приложения:

vika200190: неверно,тут другое в задаче и ответа такого нет
VaravinIvan: не знаю у меня все получилось
Вас заинтересует