Ответы
Ответ дал:
1
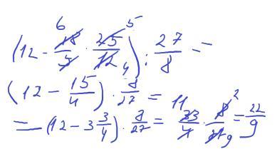
Ответ:22/9
Пошаговое объяснение:
Приложения:

Ответ дал:
1
Ответ: 1 1/3
Всё на фото.
Пошаговое объяснение:
Приложения:

Вас заинтересует
2 года назад
2 года назад
2 года назад
2 года назад
7 лет назад
7 лет назад
9 лет назад
9 лет назад