• Предмет: Математика
  • Автор: ab49356101
  • Вопрос задан 3 года назад

Помогите пожалуйста с заданием

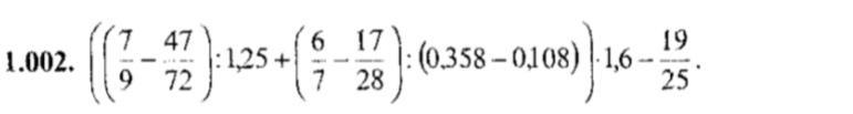
Приложения:

Ответы

Ответ дал: russkihelp
0

Ответ:

ответ - 1

Пошаговое объяснение:

7 9 - 47 72 = 7·8 9·8 - 47·1 72·1 = 56 72 - 47 72 = 56 - 47 72 = 9 72 = 1 · 9 8 · 9 = 1 8 = 0.125

-----------------------------------------------------------------------------

6 7 - 17 28 = 6·4 7·4 - 17·1 28·1 = 24 28 - 17 28 = 24 - 17 28 = 7 28 = 1 · 7 4 · 7 = 1 4 = 0.25

-----------------------------------------------------------------------------

0.358 - 0.108 = 0.25

-----------------------------------------------------------------------------

1 8 ÷1.25 = 1 8 ÷1 25 100 = 1 8 ÷1 1·25 4·25 = 1 8 ÷1 1 4 = 1 8 ÷ 1 + 1·4 4 = 1 8 ÷ 5 4 = 1 8 × 4 5 = 1·4 8·5 = 4 40 = 1 · 4 10 · 4 = 1 10 = 0.1

-----------------------------------------------------------------------------

1 4 ÷0.25 = 1 4 ÷ 25 100 = 1 4 ÷ 1·25 4·25 = 1 4 ÷ 1 4 = 1 4 × 4 1 = 1·4 4·1 = 4 4 = 1 = 1

-----------------------------------------------------------------------------

1 10 + 1 = = 1 1 10 = 1.1

-----------------------------------------------------------------------------

1 1 10 ×1.6 = 1 1 10 ×1 6 10 = 1 1 10 ×1 3·2 5·2 = 1 1 10 ×1 3 5 = 1 + 1·10 10 × 3 + 1·5 5 = 11 10 × 8 5 = 11·8 10·5 = 88 50 = 44 · 2 25 · 2 = 44 25 = 1·25 + 19 25 = 1 19 25 = 1.76

-----------------------------------------------------------------------------

1 19 25 - 19 25 = 19 + 1·25 25 - 19 25 = 44 25 - 19 25 = 44 - 19 25 = 25 25 = 1 = 1

Вас заинтересует