• Предмет: Физика
  • Автор: kriperkriper6758
  • Вопрос задан 3 года назад

Помогите пожалуйста срочно очень!!!!!!!

Приложения:

Ответы

Ответ дал: Jerryan69
0

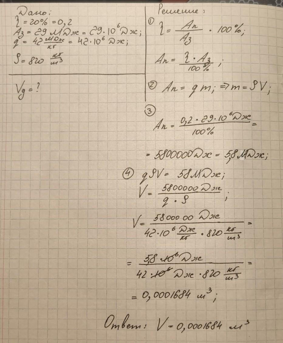
Ответ представлен ниже на фотографии

Приложения:
Вас заинтересует