ПОМОГИТЕ! ИНАЧЕ МНЕПОСТАВЯТ КОЛ!!!! можно именно 5 и 6!!!!
Приложения:

vikamickeymouse:
прошу..
Ответы
Ответ дал:
1
Ответ:
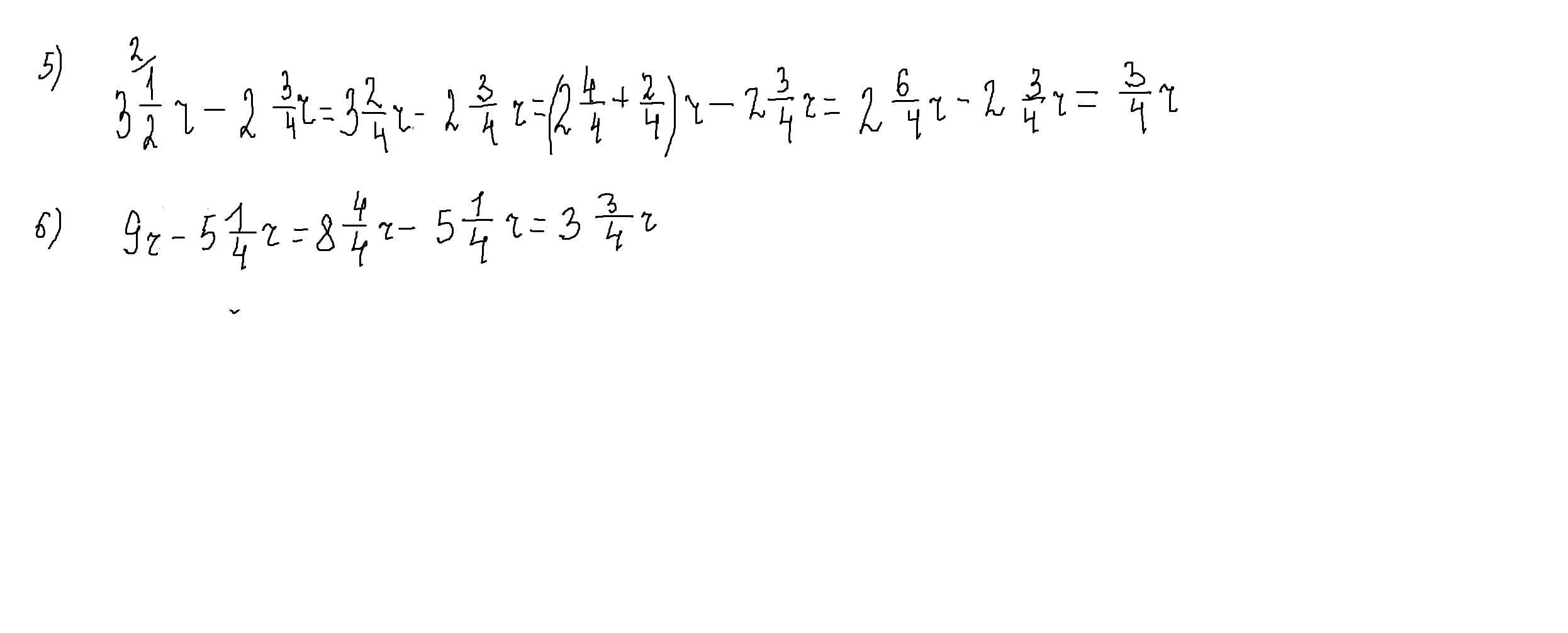
в 5 премере 1 1/4 ч в 6 3/4
Пошаговое объяснение:
3 1/2 пишем дополнительный множетель 2 будет 3/4 в 6 мы представим это число в виде смешанаго числа 8 4/4 - 5 1/4 = 3 3/4
Ответ дал:
1
Ответ:
Пошаговое объяснение:
решение 5 и 6 смотри внизу
Приложения:

Вас заинтересует
2 года назад
2 года назад
7 лет назад
9 лет назад