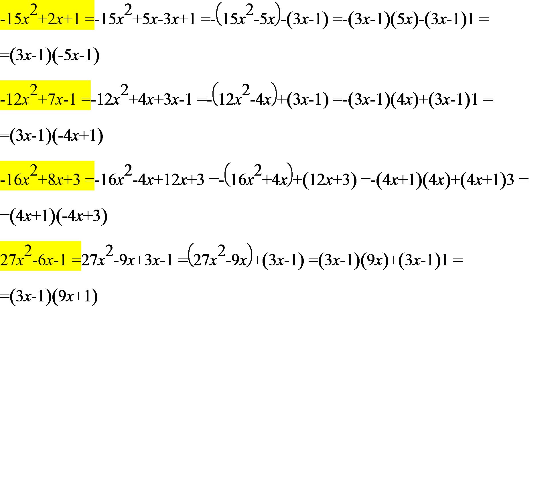
разложите на множители квадратный трёхчлен: 1)-15x2+ 2x+1=; 2)-12x2+7x-1;3)-16x2+8x+3;4) 27x2-6x-1
Ответы
Ответ дал:
0
файл
-----------------------------
Приложения:

Вас заинтересует
2 года назад
8 лет назад
10 лет назад
10 лет назад