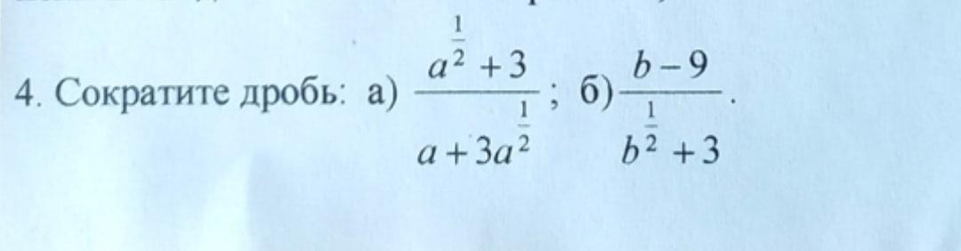
9 класс, СОКРАТИТЬ ДРОБЬ:
Приложения:

idjkfejhfjhdjjh:
ю....................п.........и.......з.......д.....а....
Ответы
Ответ дал:
0
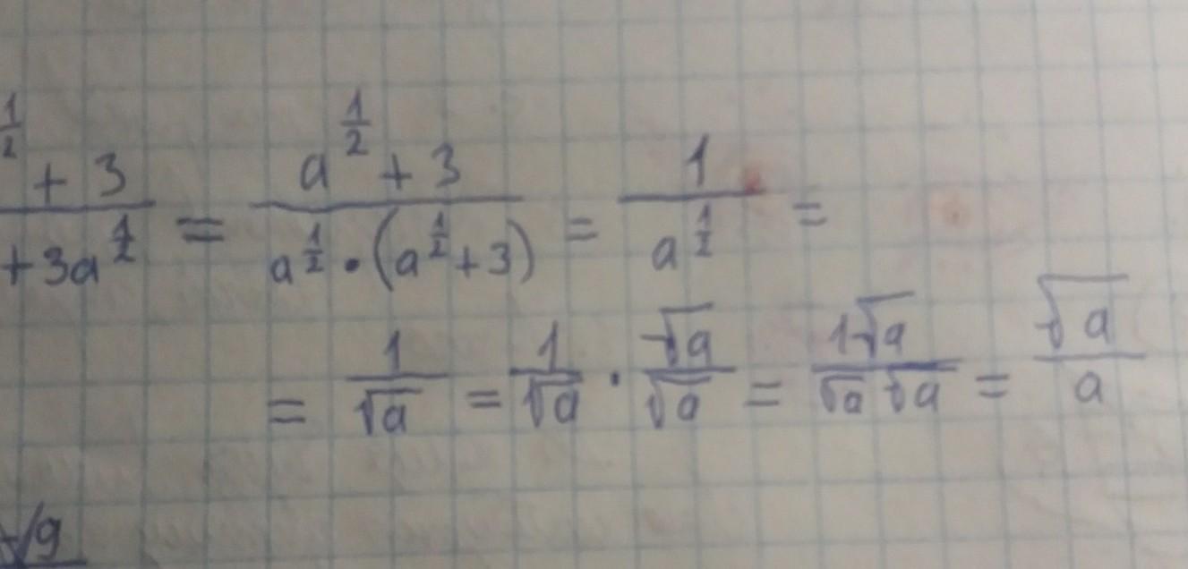
Ответ:
.........................
Приложения:


Вас заинтересует
2 года назад
2 года назад
2 года назад
7 лет назад
9 лет назад