• Предмет: Алгебра
  • Автор: KpecTHarpygu
  • Вопрос задан 3 года назад

Решите пж, как можно быстрее конечно. Спасибо =)

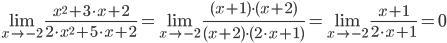
Приложения:

Ответы

Ответ дал: pashagutorov00
1

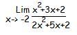
Ответ:

см фото

Объяснение:

Приложения:
Вас заинтересует