• Предмет: Математика
  • Автор: SabinkaVi
  • Вопрос задан 3 года назад

Людиии плиз ПОМОГИТЕ РЕШИТЬ задание!!! 6й класс

Приложения:

Ответы

Ответ дал: vapvev
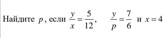
1
Ответ:1 3/7
(Одна целая три седьмых)

SabinkaVi: А где сам процесс решения?
vapvev: y/4=5/12
y=5/12•4
y=5/3

5/3:p=7/6
p=5/3•7/6
p=10/7=1 3/7
SabinkaVi: Как я объясню откуда я нашла этот ответ
vapvev: Буду очень благодарен , если отметишь, как лучший ответ)
SabinkaVi: Спасибо огромное)
vapvev: Буду очень благодарен , если отметишь, как лучший ответ)
Вас заинтересует