Ответы
Ответ дал:
0
Ответ:
2sin2x×cos(-x) / 2cos2x×cos(-x)
sin2x/cos2x
tg2x
Объяснение:
истина tg2x=tg2x
Ответ дал:
0
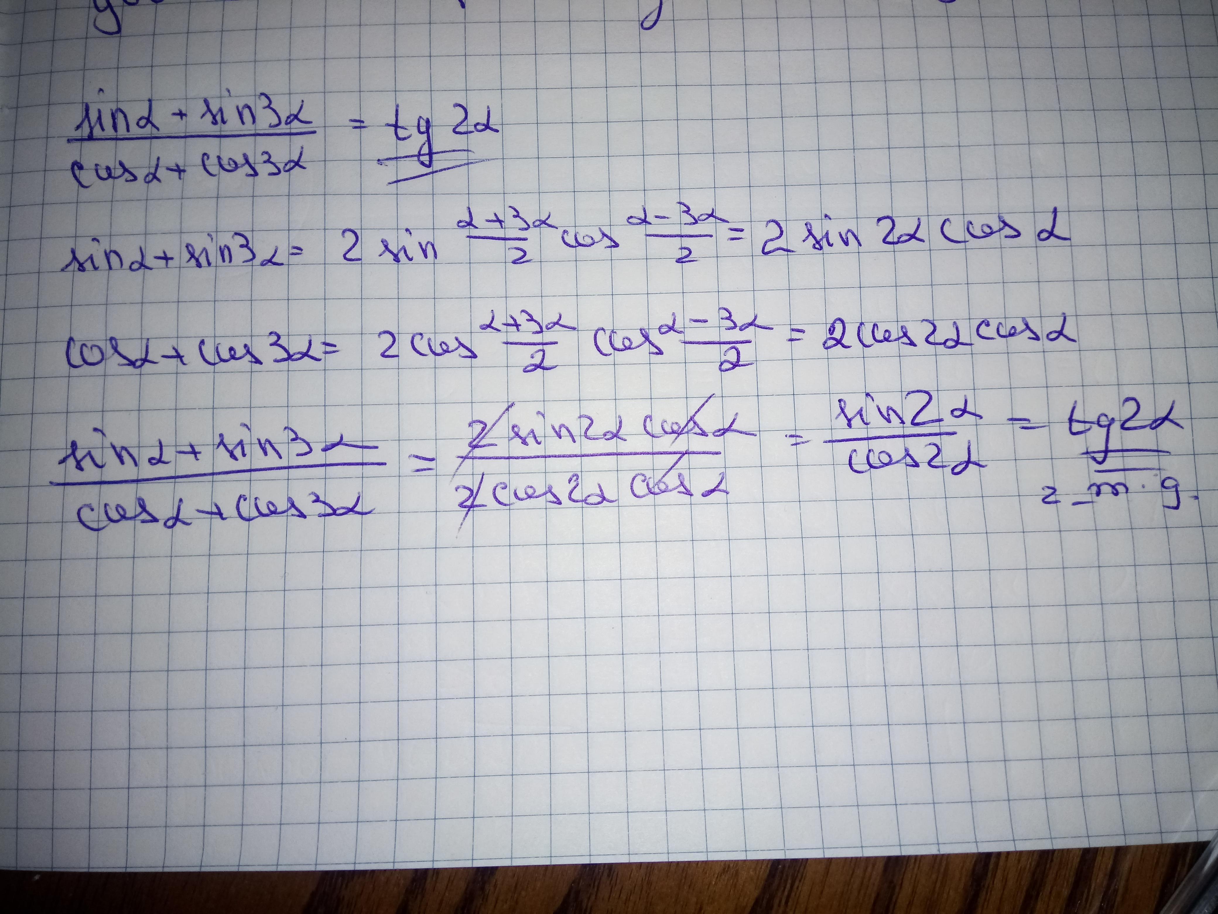
Решение задания прилагаю
Приложения:

Вас заинтересует
2 года назад
2 года назад
2 года назад
2 года назад
7 лет назад