Ответы
Ответ дал:
1
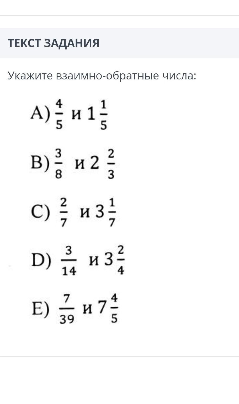
Числа являются взаимно обратными, если их произведение равно единице,
А) 4/5 т 1 1/5
1) 1 1/5 = 6/5
2) 4/5 • 6/5 = 24/25 - не равно 1.
Числа не являются взаимно обратными,
Б) 3/8 и 2 2/3
1В 2 2/3 = 8/3
2) 3/8 • 8/3 = 1
ЧИСЛА ВЗАИМНО ОБРАТНЫЕ!
С) 2/7 и 3 1/7
1) 3 1/7 = 22/7
2) 3/7 • 22/7 = 66/49 - не равно 1
Числа не являются взаимно обратными,
D) 3/14 и 3 2/4
1) 3 2/4 = 3 1/2 = 7/2
2) 3/14 • 7/2 = 3/4 - не равно 1
Числа не являются взаимно обратными,
Е) 7/39 и 7 4/5
1) 7 4/5 = 39/5
2) 7/39 • 39/5 = 7/5 - не рано 1
Числа не являются взаимно обратными.
Ответ: В) 3/8 и 2 2/3.
А) 4/5 т 1 1/5
1) 1 1/5 = 6/5
2) 4/5 • 6/5 = 24/25 - не равно 1.
Числа не являются взаимно обратными,
Б) 3/8 и 2 2/3
1В 2 2/3 = 8/3
2) 3/8 • 8/3 = 1
ЧИСЛА ВЗАИМНО ОБРАТНЫЕ!
С) 2/7 и 3 1/7
1) 3 1/7 = 22/7
2) 3/7 • 22/7 = 66/49 - не равно 1
Числа не являются взаимно обратными,
D) 3/14 и 3 2/4
1) 3 2/4 = 3 1/2 = 7/2
2) 3/14 • 7/2 = 3/4 - не равно 1
Числа не являются взаимно обратными,
Е) 7/39 и 7 4/5
1) 7 4/5 = 39/5
2) 7/39 • 39/5 = 7/5 - не рано 1
Числа не являются взаимно обратными.
Ответ: В) 3/8 и 2 2/3.
Вас заинтересует
2 года назад
2 года назад
3 года назад
8 лет назад
8 лет назад
9 лет назад