• Предмет: Математика
  • Автор: Аноним
  • Вопрос задан 3 года назад

помогите срочнооооооо дам 65 баллов людии​

Приложения:

Ответы

Ответ дал: Evgenia4836
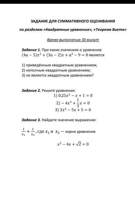
1

Ответ:

Пошаговое объяснение:

1)

1. 4a-5=1

4a=6

a= 1,5

2. 3a-2=0

a²-9=0

a=2/3, a=-3, a=3

3. 4a-5=0

a=1,25

2)

1. 0,25x²-x+1=0

x²-4x+4=0

(x-2)²=0

x=2

2. -4x²+1/3x=0

4x²-1/3x=0

x(4x-1/3)=0

x1=0, x2= 1/12

3. 2x²-5x+5=0

D= 25-40= -15

D<0 - корней нет

3) 1/x1+1/x2= (x1+x2)/x1*x2

x1+x2= 4

x1*x2= √2

1/x1+1/x2= (x1+x2)/x1*x2= 4/√2= 2√2


Аноним: Женя да хранит тебя бог,спасибо
Вас заинтересует