• Предмет: Алгебра
  • Автор: zautekovadel
  • Вопрос задан 3 года назад

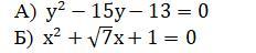
Определите знаки корней уравнения (если корни существуют), не решая уравнения:

Приложения:

Ответы

Ответ дал: vazovskaaelizaveta7
0

Ответ:

1.+

2-

Вроде бы так, но ничего не обещаю

Вас заинтересует