• Предмет: Алгебра
  • Автор: mimi2007
  • Вопрос задан 11 лет назад

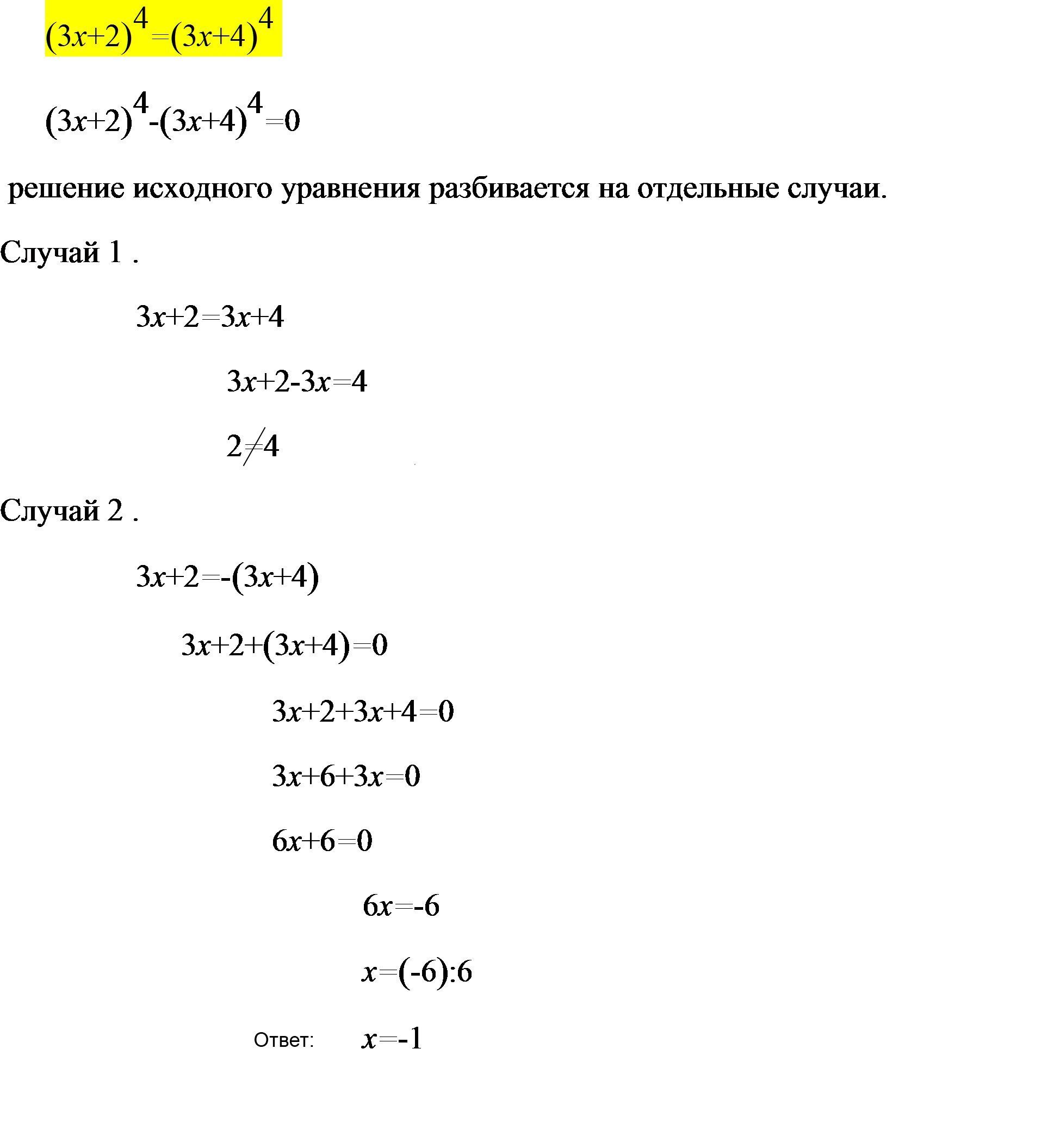
Решите уравнение:(3x+2)в 4 степени=(3x+4)в 4 степени

Ответы

Ответ дал: dmital
0

|3x+2|=|3x+4| (извлекаем 4 степень).

1.3x+2=3x+4, решений нет.

2.3x+2=-3x-4, x=-1.

Ответ дал: triolana
0

файл

------------------------------------

Приложения:
Вас заинтересует